

08-1 파이썬으로 만들 수 있는 그래프 살펴보기(link)
08-2 산점도 - 변수 간 관계 표현하기(link)
08-3 막대 그래프 - 집단 간 차이 표현하기(link)
08-4 그래프 - 시간에 따라 달라지는 데이터 표현하기(link)
08-5 상자 그림 - 집단 간 분포 차이 표현하기(link)
그래프(graph): 데이터를 보기 쉽게 그림으로 표현한 것
seaborn 패키지


그래프 활용하기
import matplotlib.pyplot as plt
plt.rcParams.update({'figure.dpi' : '150'}) # 해상도, 기본값 72
plt.rcParams.update({'figure.figsize' : [8, 6]}) # 그림 크기, 기본값 [6, 4]
plt.rcParams.update({'font.size' : '15'}) # 글자 크기, 기본값 10
plt.rcParams.update({'font.family' : 'Malgun Gothic'}) # 폰트, 기본값 sans-serif
# 여러 요소를 한 번에 설정하기
plt.rcParams.update({'figure.dpi' : '150',
'figure.figsize' : [8, 6],
'font.size' : '15',
'font.family' : 'Malgun Gothic'})
# 모든 설정 되돌리기
plt.rcdefaults(); 삽입mpg 데이터와 midwest 데이터를 이용해 분석 문제를 해결해 보세요.
Q1. mpg 데이터의 cty(도시 연비)와 hwy(고속도로 연비) 간에 어떤 관계가 있는지 알아보려고
합니다. x축은 cty, y축은 hwy로 된 산점도를 만들어 보세요.
Q2. 미국의 지역별 인구통계 정보를 담은 midwest.csv를 이용해 전체 인구와 아시아인 인구 간에
어떤 관계가 있는지 알아보려고 합니다.
•x축은 poptotal(전체 인구), y축은 popasian(아시아인 인구)으로 된 산점도를 만들어 보세요. •전체 인구는 50만 명 이하, 아시아인 인구는 1만 명 이하인 지역만 산점도에 표시되게 설정하세요.
Q1. mpg 데이터의 cty(도시 연비)와 hwy(고속도로 연비) 간에 어떤 관계가 있는지 알아보려고
합니다. x축은 cty, y축은 hwy로 된 산점도를 만들어 보세요.

Q2. 미국의 지역별 인구통계 정보를 담은 midwest.csv를 이용해 전체 인구와 아시아인 인구 간에
어떤 관계가 있는지 알아보려고 합니다.
•x축은 poptotal(전체 인구), y축은 popasian(아시아인 인구)으로 된 산점도를 만들어 보세요. •전체 인구는 50만 명 이하, 아시아인 인구는 1만 명 이하인 지역만 산점도에 표시되게 설정하세요.


as_index = False: 변수를 인덱스로 바꾸지 않고 원래대로 유지drv가 인덱스로 바뀌어 mean_hwy보다 아래에 표시됨seaborn으로 그래프를 만들려면 값이 변수에 담겨 있어야 함sns.countplot()으로 빈도 막대 그래프 만들기sns.barplot()와 sns.countplot() x축 순서가 다른 이유mpg의 drv: f, 4, r순
mpg의 0~6행 f, 7~17행 4, 18~27 rdf_mpg의 drv: 알파벳순
groupby()로 데이터 프레임을 요약하면 값의 순서가 알파벳순으로 바뀜Index(['f', '4', 'r'], dtype='object', name='drv')
mpg 데이터를 이용해 분석 문제를 해결해 보세요.
Q1. 어떤 회사에서 생산한 'suv' 차종의 도시 연비가 높은지 알아보려고 합니다. 'suv' 차종을
대상으로 cty(도시 연비) 평균이 가장 높은 회사 다섯 곳을 막대 그래프로 표현해 보세요.
막대는 연비가 높은 순으로 정렬하세요.
Q2. 자동차 중에 어떤 category(자동차 종류)가 많은지 알아보려고 합니다. sns.barplot()을
이용해 자동차 종류별 빈도를 표현한 막대 그래프를 만들어 보세요. 막대는 빈도가 높은 순으로
정렬하세요.
Q1. 어떤 회사에서 생산한 'suv' 차종의 도시 연비가 높은지 알아보려고 합니다. 'suv' 차종을
대상으로 cty(도시 연비) 평균이 가장 높은 회사 다섯 곳을 막대 그래프로 표현해 보세요.
막대는 연비가 높은 순으로 정렬하세요.
manufacturer mean_cty
8 subaru 18.833333
9 toyota 14.375000
7 nissan 13.750000
3 jeep 13.500000
6 mercury 13.250000
Q1. 어떤 회사에서 생산한 'suv' 차종의 도시 연비가 높은지 알아보려고 합니다. 'suv' 차종을
대상으로 cty(도시 연비) 평균이 가장 높은 회사 다섯 곳을 막대 그래프로 표현해 보세요.
막대는 연비가 높은 순으로 정렬하세요.
Q2. 자동차 중에 어떤 category(자동차 종류)가 많은지 알아보려고 합니다. sns.barplot()을
이용해 자동차 종류별 빈도를 표현한 막대 그래프를 만들어 보세요. 막대는 빈도가 높은 순으로
정렬하세요.
category n
6 suv 62
1 compact 47
2 midsize 41
5 subcompact 35
4 pickup 33
3 minivan 11
0 2seater 5
Q2. 자동차 중에 어떤 category(자동차 종류)가 많은지 알아보려고 합니다. sns.barplot()을
이용해 자동차 종류별 빈도를 표현한 막대 그래프를 만들어 보세요. 막대는 빈도가 높은 순으로
정렬하세요.


date pce pop psavert uempmed unemploy
0 1967-07-01 506.7 198712.0 12.6 4.5 2944
1 1967-08-01 509.8 198911.0 12.6 4.7 2945
2 1967-09-01 515.6 199113.0 11.9 4.6 2958
3 1967-10-01 512.2 199311.0 12.9 4.9 3143
4 1967-11-01 517.4 199498.0 12.8 4.7 3066
# 날짜 시간 타입 변수 만들기
economics['date2'] = pd.to_datetime(economics['date'])
# 변수 타입 확인
economics.info()<class 'pandas.core.frame.DataFrame'>
RangeIndex: 574 entries, 0 to 573
Data columns (total 7 columns):
# Column Non-Null Count Dtype
--- ------ -------------- -----
0 date 574 non-null object
1 pce 574 non-null float64
2 pop 574 non-null float64
3 psavert 574 non-null float64
4 uempmed 574 non-null float64
5 unemploy 574 non-null int64
6 date2 574 non-null datetime64[ns]
dtypes: datetime64[ns](1), float64(4), int64(1), object(1)
memory usage: 31.5+ KB
date date2
0 1967-07-01 1967-07-01
1 1967-08-01 1967-08-01
2 1967-09-01 1967-09-01
3 1967-10-01 1967-10-01
4 1967-11-01 1967-11-01
.. ... ...
569 2014-12-01 2014-12-01
570 2015-01-01 2015-01-01
571 2015-02-01 2015-02-01
572 2015-03-01 2015-03-01
573 2015-04-01 2015-04-01
date pce pop psavert uempmed unemploy date2 year
0 1967-07-01 506.7 198712.0 12.6 4.5 2944 1967-07-01 1967
1 1967-08-01 509.8 198911.0 12.6 4.7 2945 1967-08-01 1967
2 1967-09-01 515.6 199113.0 11.9 4.6 2958 1967-09-01 1967
3 1967-10-01 512.2 199311.0 12.9 4.9 3143 1967-10-01 1967
4 1967-11-01 517.4 199498.0 12.8 4.7 3066 1967-11-01 1967
mpg 데이터를 이용해 분석 문제를 해결해 보세요.
Q1. psavert(개인 저축률)가 시간에 따라 어떻게 변해 왔는지 알아보려고 합니다.
연도별 개인 저축률의 변화를 나타낸 시계열 그래프를 만들어 보세요.
Q2. 2014년 월별 psavert의 변화를 나타낸 시계열 그래프를 만들어 보세요.
Q1. psavert(개인 저축률)가 시간에 따라 어떻게 변해 왔는지 알아보려고 합니다.
연도별 개인 저축률의 변화를 나타낸 시계열 그래프를 만들어 보세요.
Q1. psavert(개인 저축률)가 시간에 따라 어떻게 변해 왔는지 알아보려고 합니다.
연도별 개인 저축률의 변화를 나타낸 시계열 그래프를 만들어 보세요.
Q2. 2014년 월별 psavert의 변화를 나타낸 시계열 그래프를 만들어 보세요.




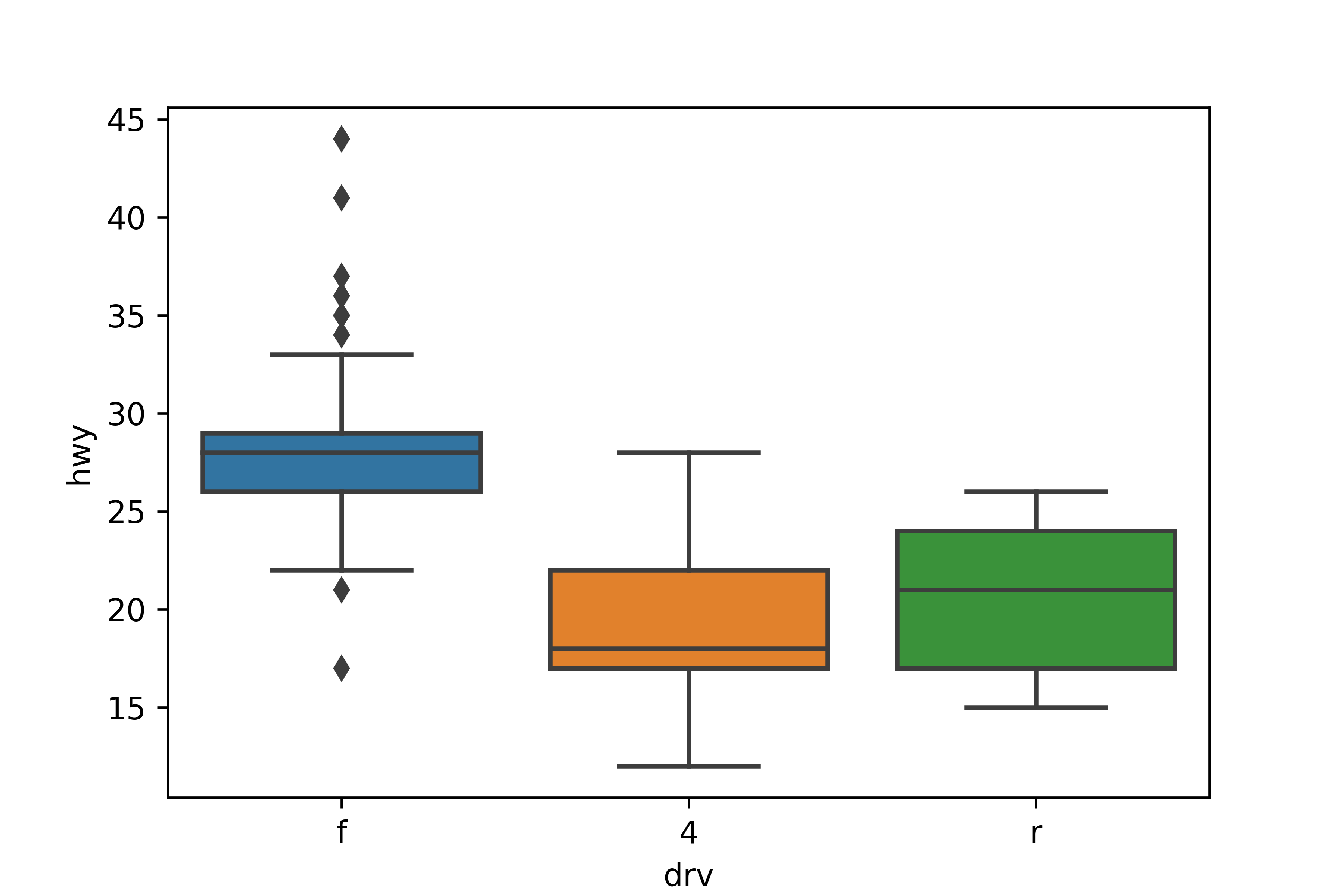
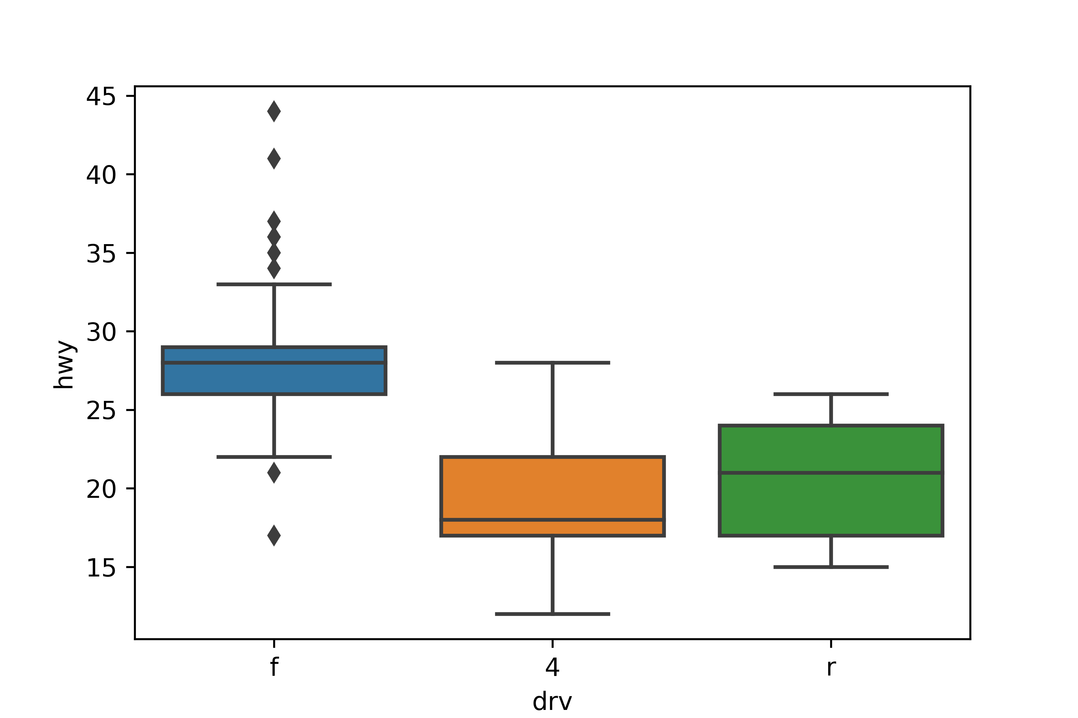
• IQR(사분위 범위): 1사분위수와 3사분위수의 거리

mpg 데이터를 이용해 분석 문제를 해결해 보세요.
Q1. category(자동차 종류)가 'compact', 'subcompact', 'suv'인 자동차의 cty(도시 연비)가
어떻게 다른지 비교해 보려고 합니다. 세 차종의 cty를 나타낸 상자 그림을 만들어 보세요.
Q1. category(자동차 종류)가 'compact', 'subcompact', 'suv'인 자동차의 cty(도시 연비)가
어떻게 다른지 비교해 보려고 합니다. 세 차종의 cty를 나타낸 상자 그림을 만들어 보세요.

seaborn 더 알아보기
seaborn 치트 시트 • DataCamp seaborn cheat sheet: bit.ly/easypy_86
seaborn으로 만든 다양한 그래프와 코드들 • seaborn Example gallery: bit.ly/easypy_87 • The Python Graph Gallery - Seaborn: bit.ly/easypy_seaborn
matplotlib 패키지 함께 사용하기 • matplotlib 공식 문서: matplotlib.org

### 1. 산점도
sns.scatterplot(data = mpg, x = 'displ', y = 'hwy')
# 축 제한
sns.scatterplot(data = mpg, x = 'displ', y = 'hwy') \
.set(xlim = [3, 6], ylim = [10, 30])
# 종류별로 표식 색깔 바꾸기
sns.scatterplot(data = mpg, x = 'displ', y = 'hwy', hue = 'drv')
### 2. 막대 그래프
## 평균 막대 그래프
# 1단계. 평균표 만들기
df_mpg = mpg.groupby('drv', as_index = False) \
.agg(mean_hwy = ('hwy', 'mean'))
# 2단계. 그래프 만들기
sns.barplot(data = df_mpg, x = 'drv', y = 'mean_hwy')
## 빈도 막대 그래프
sns.countplot(data = mpg, x = 'drv')